ЕЦТП с доклад за катастрофата край Аксаково: Скоростта на колата на НСО е била около или над 140 км/ч

European Center for Transport Policies излезе с доклад за причините за катастрофата с кола на НСО в Аксасово, взела жертва.
„Изводите, изведени от експертите на сдружението, са резултат от изследването на различни фактори, сред които поведението на двамата водачи, състоянието на пътната инфраструктура, метеорологични условия в момента на катастрофата и други. Под внимание са взети множество детайли, които дават по-голяма яснота относно динамиката на тежкия инцидент. Направени са и препоръки относно премахване на дефицити на пътната инфраструктура“, обясни Диана Русинова.
„Най-важният извод, който правят експертите на ЕЦТП е това, че независимо от грешките и дефицитите в пътната инфраструктура, независимо от липсата на видимост в кръстовището, водещата причина за настъпването на инцидента е неразумната скорост извън всякакви допустими ограничения от страна на водача на НСО“, уточнява тя.
Направен е визуален оглед чрез посещение на място и дистанционно заснемане на пътните условия на кръстовището при път II-29 и ул. „Добруджа“, гр. Аксаково. Начална точка на огледа е на 300 m преди мястото на удара, при който е възникнало пътнотранспортното произшествие.
По път II-29 има едно платно за движение с три ленти. Две ленти в посока област Добрич (за изкачващите се МПС) и една лента в посока Варна (за спускащите се). След кръстовището при ул. „Добруджа“ в посока гр. Варна има табела Д11 обозначаваща началото на гр. Аксаково. От тази табела започват да важат правилата за движение в населено място или след табелата ограничението на скоростта е 50 км/ч. След кръстовището между път II-29 и ул. „Добруджа“ в посока гр. Варна пътните ленти стават две (по една за всяка посока). След кръстовището в посока област Добрич има вход за крайпътен обект - бензиностанция.
Автомобили между, които е настъпило произшествието и състоянието им:
Инцидентът е възниквал между два леки автомобила. Джип марка VW “Touareg” и “Aidi” A4 седан. Джипът, собственост на Национална служба „Охрана“ с рег. номер СВ3649АХ е с приблизителна година на производство между 2008 г. до 2011 г., а Aidi A4 с рег. номер В4704РТ е с приблизителна година на производство между 1994 г. до 1996 г. (модел B5, TYP8D).
Параметри на VW “Touareg”: Собствено тегло 2600 кг. При наличието на 4 пасажера с багаж около 400 кг или общо около или над 3000 кг. Гуми “Kumho”, летни с година на производство 2023 г., т. е. може да се приеме, че те осигуряват при тези пътни условия добро сцепление при необходимост от внезапно спиране.
Приемаме, че времето за реакция при професионален водач, какъвто е служител на НСО е приблизително между 0,2 до 0,6 sec. Спирачната система на автомобила е 4 бр. дискови спирачки, двойно вентилирани и отпред и отзад. Приблизителното време за сработване на спирачната система е 0,2 до 0,3 sec. след натискане на спирачния педал. Времето за реакция на водача от осъзнаването на ситуацията, до преместването на десния крак върху педала за спирачната система, натискането му и сработването на спирачната система е около и под 1 sec.
Параметри на “Audi” A4: Собствено тегло 1240 кг. При наличието на двама пасажери и багаж 160 кг., общо около 1400 кг. Гумите са зимни на възраст над 10 г. Тези гуми са напълно непригодни да се използват при тези метеорологични условия, а предвид възрастта им не би следвало изобщо да се използват. Следва да се има предвид, че зимната гума, дори и нова, през летния сезон или при температура на 12 градуса на въздуха ще допринесат за значителното удължаване на спирачния път с над 15%.
При водач над 60 г. годишна възраст с опит времето да реакция е между 0,5 до 0,9 sec. Спирачната система на автомобила е с дискови спирачки, но предвид възрастта на лекия автомобил не може да се каже в какво състояние са. Тук съществен фактор представлява денивелацията от около 2-3% при излизането от ул. „Добруджа“ към път II-29. Като се добави към леката денивелация и лошото състояние на автомобилните гуми на Аудито, то може да се предположи, че при тръгване за навлизане в кръстовището е имало известно приплъзнаве, за което са допринесли не само старите гуми, но също така и лошото сцепление на асфалта, което се дължи и на разлетите антифриз, масла и др. в обхвата му.
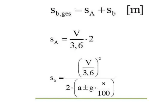
Забележка: при изчисляването на скоростта на л. а. VW “Touareg” е необходимо да се вземат предвид следните параметри: време за реакция, време за сработване на спирачната система, спирачен път при среден надлъжен наклон при суха асфалтова настилка. При някой публикации на други неправителствени организации са пропуснати фактори като надлъжния наклон и времето за реакция на водача и сработването на системата, което е фатален пропуск и води до значително изкривяване на данните и подвеждане на общественото мнение.
Математическата формулата за изчисляване на скоростта би следвало да бъде тази:

При това положение при скорост на VW “Touareg” от 60 км/ч спирачния път до пълното спиране на автомобила ще е приблизително около 41-45 m. При скорост от 110 км/ч спирачният път ще бъде около 113-143 m, а при скорост от 140 км/ч спирачният път е над 200 m, а при прибавяне на фактори като загряването на спирачките и сцеплението на асфалта спирачния път до пълното спиране на автомобила е щял да бъде около 100 m. Ако приемем, че първата точка на видимост, когато VW “Touareg” е видял за първи път лекия автомобил “Audi” A4 е при указателната табела Ж6, то до центъра на кръстовището има приблизително около 53 m. Това означава, че при скорост от 140 км/ч времето до достигане на VW “Touareg” до “Audi” A4 ще е около 1,36 sec, при скорост от 90 км/ч, то ще е около 2,12 sec, а при 60 км/ч следователно 3,18 сек.
При скорост от 140 км/ч, на VW “Touareg” са му били необходими над 200 m, за да спре напълно, а в случая автомобилът от първата точка, при която вероятно е видял л. а. Ауди А4 е имал едва 53 m, които е изминал за 1,36 sec. като извадим времето за реакция и сработване на спирачната система, то водачът на НСО е имал около 0,36 sec, за да спре и избегне пътния инцидент. При кадри разпространени от БНТ, заснети от намиращата се наблизо автомивка, става ясно, че реално вероятно времето от 1,36 sec е стигнало на шофьора единствено, за да натисне звуковата сигнализация (автомобилът е със специален режим на движение) и вероятно изобщо не е направил опит за спиране. Т.е. лекият автомобил Ауди, който се е намирал вече в средата на кръстовището е поел целия удар. Имено поради тази причина вероятно е толкова силно е деформирано Аудито.
При внимателен анализ на стотиците снимки и клипове, които разгледа нашият екип, стигнахме до извода, че деформацията на л. а. „Ауди“ от лявата страна стига почти до скоростния лост, което е по средата на автомобила. От кадрите, които са от различни източници от интернет, много ясно се вижда тежкото усукване на л. а. Audi в следствие на удара. Геометрията на лекия автомобил с варненска регистрация е напълно променена. Това е явен признак за това, че ударът е бил с много висока скорост.
От тази снимка, ясно се вижда, че при л. а. VW “Touareg” предната лява седалка (гърба на облегалката на водача) е отишла напред почти до волана, което е явен признак за това, че пътниците отзад са се возили вероятно без колан. Също така се вижда, че на предните странични стъкла на автомобила на НСО (VW “Touareg” ), същите са затъмнени. Следва да се провери каква е била реалната видимост през тези стъкла на водача и дали не е нарушено правилото на чл. 105 от ЗДвП, където е указано, че „Забранява се ограничаване на видимостта през челното, задното и през страничните стъкла на автомобила, осигуряващи видимостта на водача към пътя, както и намаляване на прозрачността им“.
Няма изключения за автомобили със специален режим на движение каквито са колите на НСО, единственото изключение е в чл. 105, ал. 3, което в случая вероятно също е нарушено, а именно: „Намаляване прозрачността на стъклата по ал. 1 се допуска само в границите на стойностите, определени в Правило № 43 на Икономическата комисия за Европа на Организацията на обединените нации“.
За да се разбере точната скорост на л. а. VW “Touareg” е необходимо да се провери информацията от рамката на Националното ТОЛ управление или преброителния пункт на Агенция „Пътна инфраструктура“, която се намира на около 127 м. преди кръстовището. В обхвата на кръстовището няма ограничение на скоростта обозначено с пътен знак В26 и следователно максимално допустимата скорост е 90 км/ч. При видимост под 110 m е недопустимо, съобразно изискванията на чл. 112 и чл. 113 от Наредба № РД-02-20-2 от 28.08.2018 г. за проектиране на пътища, да няма ограничение в скоростта преди кръстовището по основното направление.
Независимо от всичко обаче, ако добавим и скоростта на VW “Touareg”, която вероятно е била около или над 140 км/ч, това на практика прави невъзможно не само да се видят взаимно двата автомобила, но инцидента става неизбежен. Видимостта при спиране на знака STOP е не повече от 50-53 m в посока на ляво и не повече от 70-80 mв посока на дясно →, което представлява сериозен пропуск, който пряко застрашава безопасността на движението в конкретния участък от пътя. Това кръстовище не е с осигурена видимост и шансът там да настъпи подобен инцидент отново, е реален.
Към настоящия момент трудно може да се установи какво е било сцеплението на асфалтовото покритие или на пътната маркировка към момента на настъпването на пътнотранспортното произшествие. Няколко дни след инцидента е извършена подмяна на асфалтното покритие в зоната където е настъпил удара, както и по главното направление по пътя на VW “Touareg”. Подобни действия поставят под съмнение бъдещите изводи на докладите и експертизите на официалните разследващи органи. Заличаването на следите, от администрацията стопанисваща пътя, след тежък пътен инцидент не само, че не е прецедент, но се повтаря при почти всяко по-тежко и обществено значимо пътно произшествие.
Подобни действия могат да се дължат на злонамерени действия от страна на конкретни служители на ОПУ и това е елемент, който задължително трябва да бъде проверен. В същото време е възможно и да липсва ясно утвърдена процедура или прокурорът по досъдебното производство да е пропуснал да даде точни и ясни указания на стопанина на пътя. Този пропуск, обаче можа да се окаже фатален. Необходимо е МВР, ПРБ и МРРБ да изработят съвместна процедура за реакция при подобни произшествия, така че в бъдеще да се избегнат подобни фатални пропуски.
При приближаване към кръстовището е необходимо да се въведе ограничение на скоростта чрез пътен знак В26. Ограничението на скоростта трябва да бъде 70 км/ч, а в този случай най-подходящо ще бъде дори въвеждане на ограничение от 50 км/ч. При наличието само на 50-53 м видимост по основното направление в посока към гр. Варна и при ограничена видимост и от гр. Варна в посока към „Аксаковска панорама“ е било задължително да се въведе ограничение на скоростта. В конкретния случай това не е от решаващо значение за настъпването на пътния инцидент, защото има поставени указателни табели Ж6 и все пак става ясно, за участниците в движението, че приближават към кръстовище.
Скоростта, с която се е движел автомобилът идващ по основното направление на път II-29 в посока гр. Варна вероятно е била значително над максимално допустимата в този пътен участък и неразумно висока за пътните условия; Независимо от незадоволителното състояние на пътя и организацията на движението пътният инцидент вероятно е щял да бъде избегнат, ако автомобилът идващ по II-29 се е движел със скорост между 50-70 км/ч. Дори и при скорост 90 км/ч, каквото е ограничението на скоростта в този пътен участък, инцидентът е можело да бъде избегнат или поне да не завърши фатално.
Грешка на водача на идващия по II-29 автомобил е това, че е допуснал да се движи с висока скорост в зоната на кръстовище без видимост. Водач с опит би следвало да може да прецени тази опасност и да предприеме съответните действия, така че дори и да му бъде отнето предимството той да избегне настъпването на пътен инцидент; По всяка вероятност водачът на автомобила идващ от ул. „Добруджа“ е бил ударен след като вече е бил навлязъл в средата на кръстовището. Дали е бил спрял или не на знак Б2 няма никакво значение, защото при видимост от 53 м и връхлитащ го автомобил с над 140 км/ч шансът да се избегне този инцидент е бил под 1%.
FaceBook Twitter Pinterest https://tribune.bg/bg/obshtestvo/etstp-s-doklad-za-katastrofata/


